Упр.1.44 ГДЗ Мерзляк 11 класс Углубленный уровень (Алгебра)
Решение #1

Рассмотрим вариант решения задания из учебника Мерзляк, Номировский, Поляков 11 класс, Вентана-Граф, Просвещение:
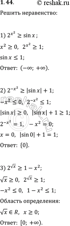
1.44. Решите неравенство:
1) 2^(x^2)>sin(x); 2) 2^(-x^2)>|sin(x)|+1; 3) 2^(vx)>1-x^2.
*размещая тексты в комментариях ниже, вы автоматически соглашаетесь с пользовательским соглашением