Упр.10.12 ГДЗ Мордкович Семенов 9 класс (Алгебра)
Решение #1

Рассмотрим вариант решения задания из учебника Мордкович, Семенов, Александрова 9 класс, Бином:
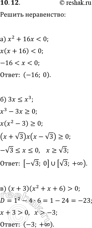
10.12. Решите неравенство:
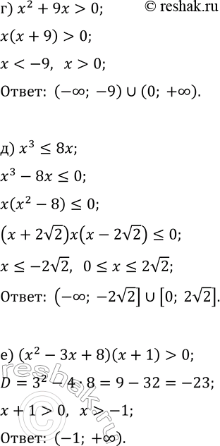
а) x^2+16x<0; г) x^2+9x>0;
б) 3x?x^3; д) x^3?8x;
в) (x+3)(x^2+x+6)>0; е) (x^2-3x+8)(x+1)>0.
*размещая тексты в комментариях ниже, вы автоматически соглашаетесь с пользовательским соглашением