Упр.10.6 ГДЗ Мерзляк 11 класс Углубленный уровень (Алгебра)
Решение #1

Рассмотрим вариант решения задания из учебника Мерзляк, Номировский, Поляков 11 класс, Вентана-Граф, Просвещение:
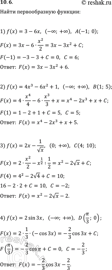
10.6. Для функции f на промежутке I найдите первообразную F, график которой проходит через данную точку:
1) f(x)=3-6x, I=(-бесконечность; +бесконечность), A(-1; 0);
2) f(x)=4x^3-6x^2+1, I=(-бесконечность; +бесконечность), B(1; 5);
3) f(x)=2x-1/vx, I=(0; +бесконечность), C(4; 10);
4) f(x)=2sin(3x), I=(-бесконечность; +бесконечность), D(п/3; 0);
5) f(x)=2/v(x/2-2), I=(4; +бесконечность), E(6; 12);
6) f(x)=e^(2x+1), I=(-бесконечность; +бесконечность), M(-1/2; 4);
7) f(x)=1/(4x-3e^2), I=((3e^2)/4; +бесконечность), K(e^2; 6);
8) f(x)=1/sin^2(x/8), I=(0; 8п), N(2п; -2).
*размещая тексты в комментариях ниже, вы автоматически соглашаетесь с пользовательским соглашением