Упр.10.6 ГДЗ Мордкович Семенов 9 класс (Алгебра)
Решение #1

Рассмотрим вариант решения задания из учебника Мордкович, Семенов, Александрова 9 класс, Бином:
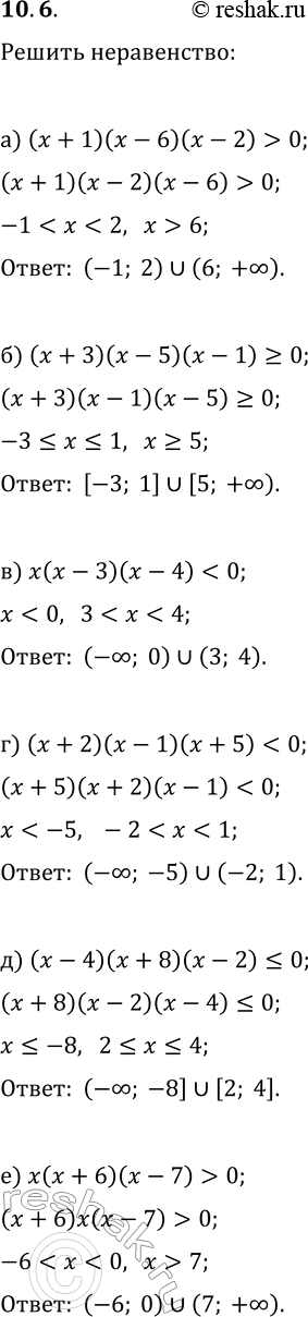
10.6. Решить неравенство:
а) (x+1)(x-6)(x-2)>0; г) (x+2)(x-1)(x+5)<0;
б) (x+3)(x-5)(x-1)?0; д) (x-4)(x+8)(x-2)?0;
в) x(x-3)(x-4)<0; е) x(x+6)(x-7)>0.
*размещая тексты в комментариях ниже, вы автоматически соглашаетесь с пользовательским соглашением