Упр.11.11 ГДЗ Мордкович Семенов 9 класс (Алгебра)
Решение #1

Рассмотрим вариант решения задания из учебника Мордкович, Семенов, Александрова 9 класс, Бином:
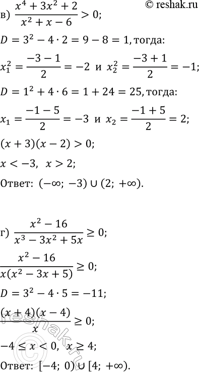
11.11. Решите неравенство:
а) (x^3-x^2+x)/(x^2-25)<0; г) (x^2-16)/(x^3-3x2+5x)?0;
б) (4x^2-9)/(x^3-x^2+x-1)?0; д) (x^3+2x^2+x+2)/(9x^2-x)<0;
в) (x^4+3x^2+2)/(x^2+x-6)>0; е) (x^2+x+1)/(x^4+2x^2-15)?0.
*размещая тексты в комментариях ниже, вы автоматически соглашаетесь с пользовательским соглашением