Упр.11.12 ГДЗ Мордкович Семенов 9 класс (Алгебра)
Решение #1

Рассмотрим вариант решения задания из учебника Мордкович, Семенов, Александрова 9 класс, Бином:
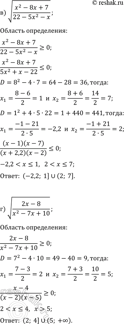
11.12. При каких значениях переменной данное выражение имеет смысл:
а) v((x^2-8x-48)/(3x-12)); г) v((2x-8)/(x^2-7x+10));
б) v((6x-11)/(x+10-2x^2)); д) v((5x+9-4x^2)/(7x+15));
в) v((x^2-8x+7)/(22-5x^2-x)); е) v((30-13x-3x^2)/(x^2-6x+4))?
*размещая тексты в комментариях ниже, вы автоматически соглашаетесь с пользовательским соглашением