Упр.11.13 ГДЗ Мордкович Семенов 9 класс (Алгебра)
Решение #1

Рассмотрим вариант решения задания из учебника Мордкович, Семенов, Александрова 9 класс, Бином:
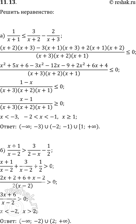
11.13. Решите неравенство:
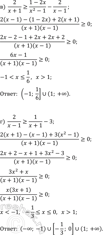
а) 1/(x+1)?3/(x+2)-2/(x+3); г) 2/(x-1)?1/(x+1)-3;
б) (x+1)/(x-2)>3/(2-x)-1/2; д) (x-4)/(x-3)-(x-3)/(x-4)<0;
в) 2/(x+1)?(1-2x)/(x^2-1)-2/(x-1); е) 3x/(x^2-25)>x/(5-x).
*размещая тексты в комментариях ниже, вы автоматически соглашаетесь с пользовательским соглашением