Упр.11.3 ГДЗ Мордкович Семенов 9 класс (Алгебра)
Решение #1

Рассмотрим вариант решения задания из учебника Мордкович, Семенов, Александрова 9 класс, Бином:
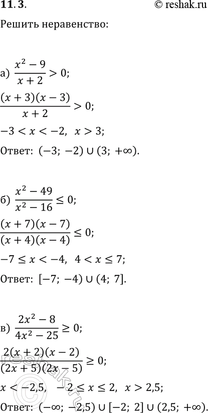
11.3. Решите неравенство:
а) (x^2-9)/(x+2)>0; г) (x^2-16)/(x-1)?0;
б) (x^2-49)/(x^2-16)?0; д) (x^2-25)/(x^2-4)>0;
в) (2x^2-8)/(4x^2-25)?0; е) (64x^2-49)/(3x^2-12)?0.
*размещая тексты в комментариях ниже, вы автоматически соглашаетесь с пользовательским соглашением