Упр.11.8 ГДЗ Мордкович Семенов 9 класс (Алгебра)
Решение #1

Рассмотрим вариант решения задания из учебника Мордкович, Семенов, Александрова 9 класс, Бином:
11.8. Решите неравенство:
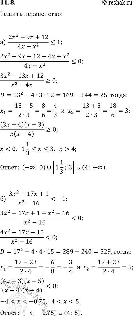
а) (2x^2-9x+12)/(4x-x^2)?1; г) (3x^2+x-10)/(x^2-7x)?1;
б) (3x^2-17x+1)/(x^2-16)<-1; д) (2x^2-x-1)/(x^2-9)>-1;
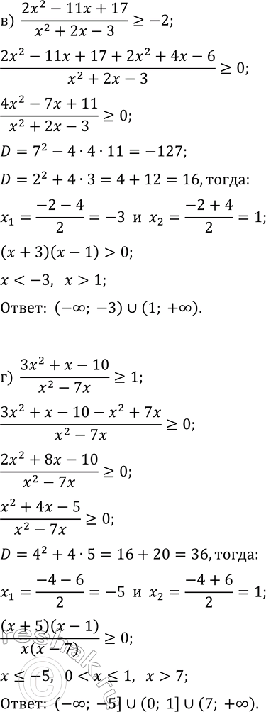
в) (2x^2-11x+17)/(x^2+2x-3)?-2; е) (6x^2+13x-27)/(x^2+3x-4)?3.
*размещая тексты в комментариях ниже, вы автоматически соглашаетесь с пользовательским соглашением