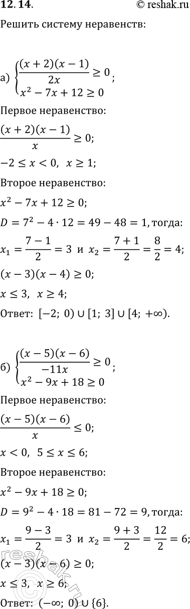
Упр.12.14 ГДЗ Мордкович Семенов 9 класс (Алгебра)
Решение #1

Рассмотрим вариант решения задания из учебника Мордкович, Семенов, Александрова 9 класс, Бином:
12.14. Решите систему неравенств:
а) {(x+2)(x-1)/(2x)?0, x^2-7x+12?0};
б) {(x-5)(x-6)/(-11x)?0, x^2-9x+18?0};
в) {(x+3)(x-4)/(2x)?0, x^2-10x+9?0};
г) {(x-5)(x-2)/(-12x)?0, x^2-10x+21?0}.
*размещая тексты в комментариях ниже, вы автоматически соглашаетесь с пользовательским соглашением