Упр.12.17 ГДЗ Мордкович Семенов 9 класс (Алгебра)
Решение #1

Рассмотрим вариант решения задания из учебника Мордкович, Семенов, Александрова 9 класс, Бином:
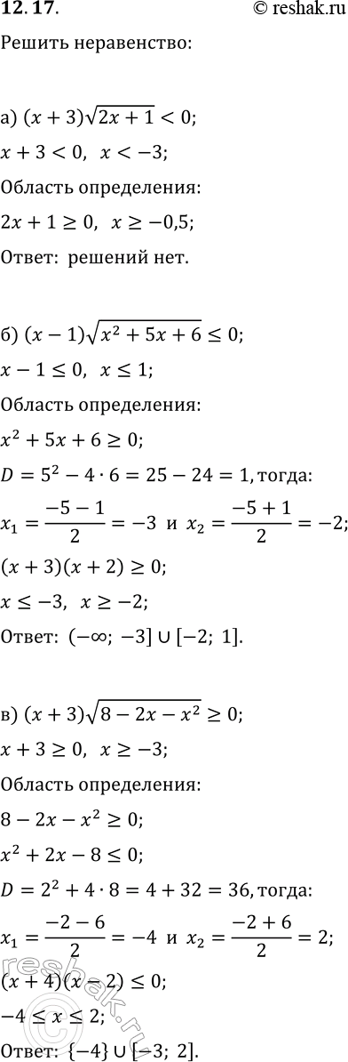
12.17. Решите неравенство:
а) (x+3)v(2x+1)<0; г) (x-3)v(3x-15)>0;
б) (x-1)v(x^2+5x+6)?0; д) (x-2)v(x^2+3x+4)>0;
в) (x+3)v(8-2x-x^2)?0; е) (5-x)v(x^2+4x-5)?0.
*размещая тексты в комментариях ниже, вы автоматически соглашаетесь с пользовательским соглашением