Упр.13.31 ГДЗ Мерзляк 11 класс Углубленный уровень (Алгебра)
Решение #1

Рассмотрим вариант решения задания из учебника Мерзляк, Номировский, Поляков 11 класс, Вентана-Граф, Просвещение:
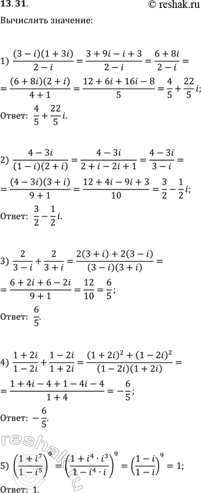
13.31. Вычислите:
1) (3-i)(1+3i)/(2-i); 3) 2/(3-i)+2/(3+i); 5) ((1+i^7)/(1-i^5))^9.
2) (4-3i)/((1-i)(2+i)); 4) (1+2i)/(1-2i)+(1-2i)/(1+2i);
*размещая тексты в комментариях ниже, вы автоматически соглашаетесь с пользовательским соглашением