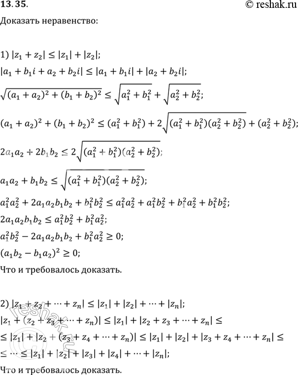
Упр.13.35 ГДЗ Мерзляк 11 класс Углубленный уровень (Алгебра)
Решение #1

Рассмотрим вариант решения задания из учебника Мерзляк, Номировский, Поляков 11 класс, Вентана-Граф, Просвещение:
13.35. Докажите неравенство:
1) |z_1+z_2|<|z_1|+|z_2|;
2) |z_1+z_2+...+z_3|<|z_1|+|z_2|+...+|z_n|.
*размещая тексты в комментариях ниже, вы автоматически соглашаетесь с пользовательским соглашением