Упр.14 ГДЗ Бунимович Кузнецова 6 класс (Математика)

Решение #1

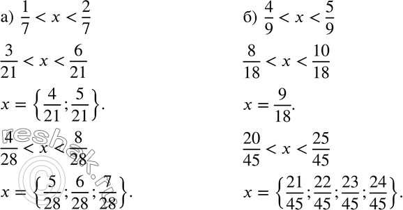
Изображение 14 Найдите несколько чисел, которые:а) больше 1/7, но меньше 2/7;	б) больше 4/9, но меньше 5/9....

Рассмотрим вариант решения задания из учебника Бунимович, Кузнецова, Минаева 6 класс, Просвещение:
14 Найдите несколько чисел, которые:
а) больше 1/7, но меньше 2/7;
б) больше 4/9, но меньше 5/9.
*Цитирирование задания со ссылкой на учебник производится исключительно в учебных целях для лучшего понимания разбора решения задания.
*размещая тексты в комментариях ниже, вы автоматически соглашаетесь с пользовательским соглашением