Упр.14.4 ГДЗ Мордкович Семенов 9 класс (Алгебра)
Решение #1

Рассмотрим вариант решения задания из учебника Мордкович, Семенов, Александрова 9 класс, Бином:
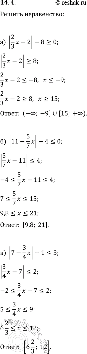
14.4. Решите неравенство:
а) |(2/3)x-2|-8?0; г) |(4/3)x-5|-3?0;
б) |11-(5/7)x|-4?0; д) |9-(7/3)x|-5?0;
в) |7-(3/4)x|+1?3; е) |4-(1/3)x|+1>2.
*размещая тексты в комментариях ниже, вы автоматически соглашаетесь с пользовательским соглашением