Упр.15.11 ГДЗ Мордкович Семенов 9 класс (Алгебра)
Решение #1

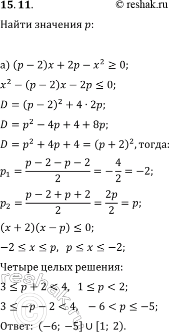
Рассмотрим вариант решения задания из учебника Мордкович, Семенов, Александрова 9 класс, Бином:
15.11. а) Найдите все значения параметра р, при которых в множестве решений неравенства (p-2)x+2p-x^2?0 содержатся ровно четыре целых числа.
б) Найдите все значения параметра р, при которых в множестве решений неравенства (p-2)x+2p-x^2?0 содержится единственное целое значение.
*размещая тексты в комментариях ниже, вы автоматически соглашаетесь с пользовательским соглашением