Упр.15.16 ГДЗ Мордкович Семенов 9 класс (Алгебра)
Решение #1

Рассмотрим вариант решения задания из учебника Мордкович, Семенов, Александрова 9 класс, Бином:
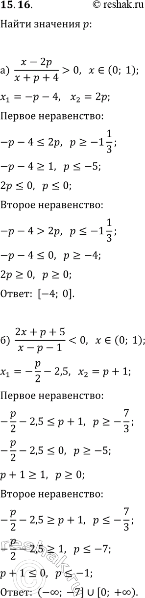
15.16. а) Найдите все значения параметра р, при каждом из которых неравенство (x-2p)/(x+p+4)>0 выполняется при всех значениях х из интервала (0; 1).
б) Найдите все значения параметра р, при каждом из которых неравенство (2x+p+5)/(x-p-1)<0 выполняется при всех значениях x из интервала (0; 1).
*размещая тексты в комментариях ниже, вы автоматически соглашаетесь с пользовательским соглашением