Упр.15.3 ГДЗ Мордкович Семенов 9 класс (Алгебра)
Решение #1

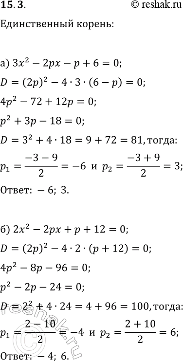
Рассмотрим вариант решения задания из учебника Мордкович, Семенов, Александрова 9 класс, Бином:
15.3. а) При каких значениях параметра р квадратное уравнение 3x^2-2px-p+6=0 имеет единственный корень?
б) При каких значениях параметра р квадратное уравнение 2x^2-2px+p+12=0 имеет единственный корень?
*размещая тексты в комментариях ниже, вы автоматически соглашаетесь с пользовательским соглашением