Упр.16.2 ГДЗ Мерзляк 11 класс Углубленный уровень (Алгебра)
Решение #1

Рассмотрим вариант решения задания из учебника Мерзляк, Номировский, Поляков 11 класс, Вентана-Граф, Просвещение:
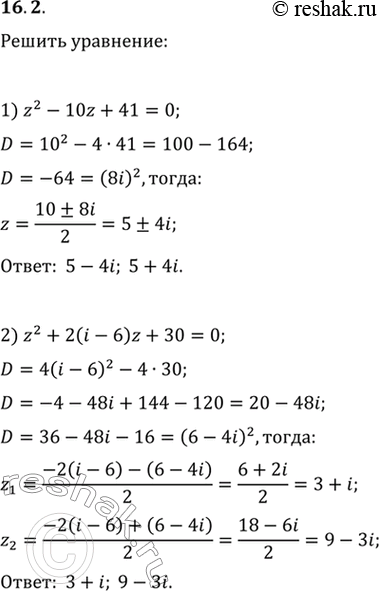
16.2. Решите уравнение:
1) z^2-10z+41=0; 3) z^2-2z-7-6i=0;
2) z^2+2(i-6)z+30=0; 4) z^2+2(i-2)z+3+4i=0.
*размещая тексты в комментариях ниже, вы автоматически соглашаетесь с пользовательским соглашением