Упр.17.29 ГДЗ Мерзляк 11 класс Углубленный уровень (Алгебра)
Решение #1

Рассмотрим вариант решения задания из учебника Мерзляк, Номировский, Поляков 11 класс, Вентана-Граф, Просвещение:
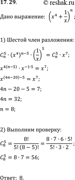
17.29. В выражении (x^4+1/x)^n раскрыли скобки по формуле бинома Ньютона. Известно, что шестой член разложения имеет вид 56x^7. Найдите n.
*размещая тексты в комментариях ниже, вы автоматически соглашаетесь с пользовательским соглашением