Упр.2.13 ГДЗ Мерзляк 11 класс Углубленный уровень (Алгебра)
Решение #1

Рассмотрим вариант решения задания из учебника Мерзляк, Номировский, Поляков 11 класс, Вентана-Граф, Просвещение:
2.13. Решите уравнение:
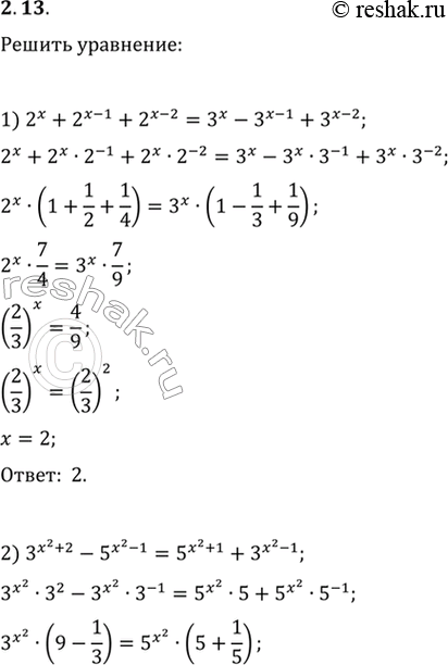
1) 2^x+2^(x-1)+2^(x-2)=3^x-3^(x-1)+3^(x-2);
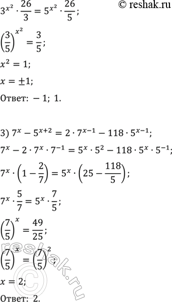
2) 3^(x^2+2)-5^(x^2-1)=5^(x^2+1)+3^(x^2-1);
3) 7^x-5^(x+2)=2·7^(x-1)-118·5^(x-1).
*размещая тексты в комментариях ниже, вы автоматически соглашаетесь с пользовательским соглашением