Упр.2.17 ГДЗ Мерзляк 11 класс Углубленный уровень (Алгебра)
Решение #1

Рассмотрим вариант решения задания из учебника Мерзляк, Номировский, Поляков 11 класс, Вентана-Граф, Просвещение:
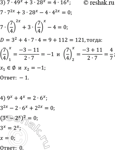
2.17. Решите уравнение:
1) 3·2^(2x)-5·6^x+2·3^(2x)=0; 3) 7·49^x+3·28^x=4·16^x;
2) 2^(2x+1)-7·10^x+25^(x+0,5)=0; 4) 9^x+4^x=2·6^x.
*размещая тексты в комментариях ниже, вы автоматически соглашаетесь с пользовательским соглашением