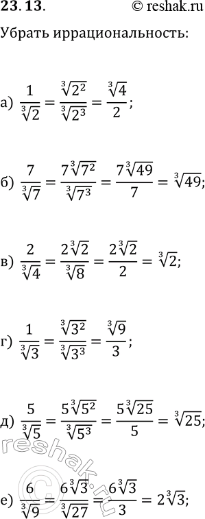
Упр.23.13 ГДЗ Мордкович Семенов 9 класс (Алгебра)
Решение #1

Рассмотрим вариант решения задания из учебника Мордкович, Семенов, Александрова 9 класс, Бином:
23.13. Освободитесь от иррациональности в знаменателе дроби:
а) 1/2^(1/3); в) 2/4^(1/3); д) 5/5^(1/3);
б) 7/7^(1/3); г) 1/3^(1/3); е) 6/9^(1/3).
*размещая тексты в комментариях ниже, вы автоматически соглашаетесь с пользовательским соглашением