Упр.24.1 ГДЗ Мерзляк 11 класс Углубленный уровень (Алгебра)
Решение #1

Рассмотрим вариант решения задания из учебника Мерзляк, Номировский, Поляков 11 класс, Вентана-Граф, Просвещение:
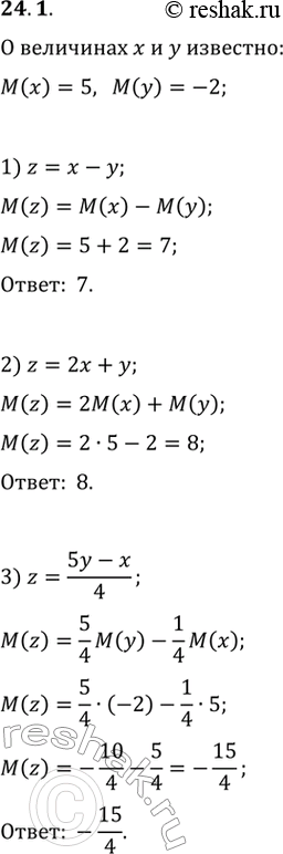
24.1. О случайных величинах х и у известно, что М(х)=5, М(у)=-2. Найдите математическое ожидание случайной величины:
1) x-y; 2) 2x+y; 3) (5y-x)/4.
*размещая тексты в комментариях ниже, вы автоматически соглашаетесь с пользовательским соглашением