Упр.24.21 ГДЗ Мордкович Семенов 9 класс (Алгебра)
Решение #1

Рассмотрим вариант решения задания из учебника Мордкович, Семенов, Александрова 9 класс, Бином:
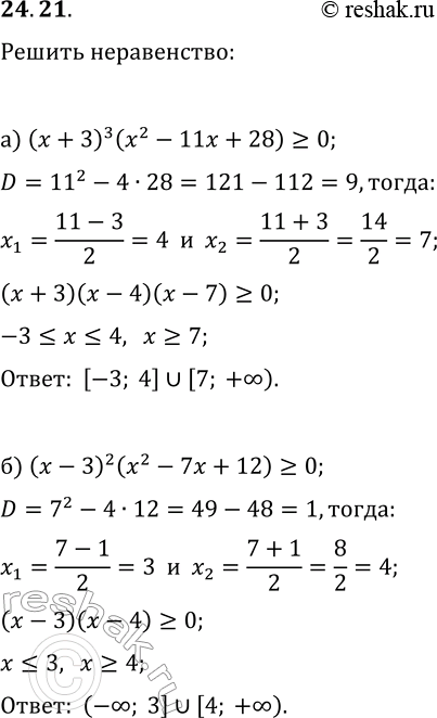
24.21. Решите неравенство:
а) (x+3)^3 (x^2-11x+28)?0;
б) (x-3)^2 (x^2-7x+12)?0;
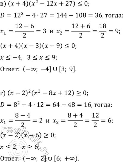
в) (x+4)(x^2-12x+27)?0;
г) (x-2)^2 (x^2-8x+12)?0.
*размещая тексты в комментариях ниже, вы автоматически соглашаетесь с пользовательским соглашением