Упр.25.14 ГДЗ Мерзляк 11 класс Углубленный уровень (Алгебра)
Решение #1

Рассмотрим вариант решения задания из учебника Мерзляк, Номировский, Поляков 11 класс, Вентана-Граф, Просвещение:
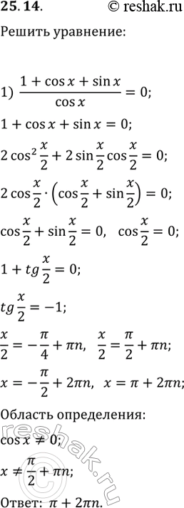
25.14. Решите уравнение:
1) (1+cos(x)+sin(x))/cos(x)=0; 2) (cos(x)+cos(3x/2)-2)/sin(x/8)=0.
*размещая тексты в комментариях ниже, вы автоматически соглашаетесь с пользовательским соглашением