Упр.26.1 ГДЗ Мордкович Семенов 9 класс (Алгебра)
Решение #1

Рассмотрим вариант решения задания из учебника Мордкович, Семенов, Александрова 9 класс, Бином:
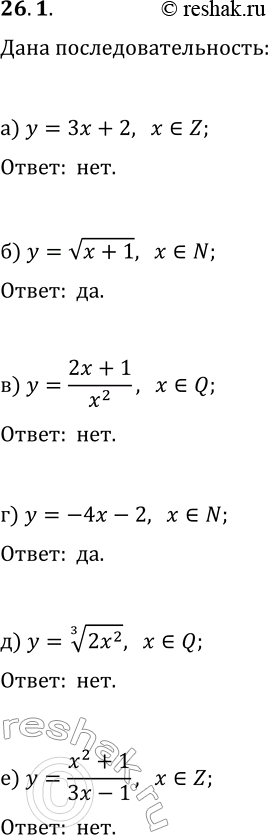
26.1. Укажите функцию, которая является числовой последовательностью:
а) y=3x+2, x?Z; г) y=-4x-2, x?N;
б) y=v(x+1), x?N; д) y=(2x^2)^(1/3), x?Q;
в) y=(2x+1)/x^2, x?Q; е) y=(x^2+1)/(3x-1), x?Z.
*размещая тексты в комментариях ниже, вы автоматически соглашаетесь с пользовательским соглашением