Упр.27.1 ГДЗ Мордкович Семенов 9 класс (Алгебра)
Решение #1

Рассмотрим вариант решения задания из учебника Мордкович, Семенов, Александрова 9 класс, Бином:
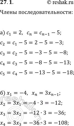
27.1. а) Последовательность задана рекуррентным способом: c_1=2, c_n=c_(n-1)-5 (n=2, 3, 4, ...). Найдите первые пять членов последовательности.
б) Последовательность задана рекуррентным способом: x_1=-4, x_n=3x_(n-1) (n=2, 3, 4, ...). Найдите первые четыре члена последовательности.
*размещая тексты в комментариях ниже, вы автоматически соглашаетесь с пользовательским соглашением