Упр.27.15 ГДЗ Мерзляк 11 класс Углубленный уровень (Алгебра)
Решение #1

Рассмотрим вариант решения задания из учебника Мерзляк, Номировский, Поляков 11 класс, Вентана-Граф, Просвещение:
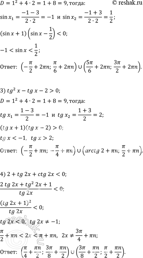
27.15. Решите неравенство:
1) sin^6(x)+cos^(x)<2/3; 3) tg^2(x)-tg(x)-2>0;
2) 2cos^2(x)-sin(x)>1; 4) 2+tg(2x)+ctg(2x)<0.
*размещая тексты в комментариях ниже, вы автоматически соглашаетесь с пользовательским соглашением