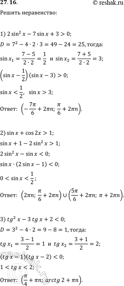
Упр.27.16 ГДЗ Мерзляк 11 класс Углубленный уровень (Алгебра)
Решение #1

Рассмотрим вариант решения задания из учебника Мерзляк, Номировский, Поляков 11 класс, Вентана-Граф, Просвещение:
27.16. Решите неравенство:
1) 2sin^2(x)-7sin(x)+3>0; 3) tg^2(x)-3tg(x)+2<0.
2) sin(x)+cos(2x)>1;
*размещая тексты в комментариях ниже, вы автоматически соглашаетесь с пользовательским соглашением