Упр.28.28 ГДЗ Мордкович Семенов 9 класс (Алгебра)
Решение #1

Рассмотрим вариант решения задания из учебника Мордкович, Семенов, Александрова 9 класс, Бином:
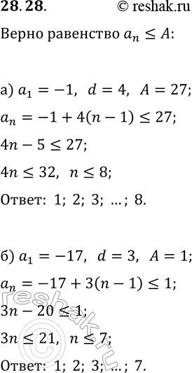
28.28. Укажите номера членов арифметической прогрессии (a_n), для которых выполняется неравенство a_n?A, если:
а) a_1=-1, d=4, A=27; б) a_1=-17, d=3, A=1.
*размещая тексты в комментариях ниже, вы автоматически соглашаетесь с пользовательским соглашением