Упр.28.34 ГДЗ Мордкович Семенов 9 класс (Алгебра)
Решение #1

Рассмотрим вариант решения задания из учебника Мордкович, Семенов, Александрова 9 класс, Бином:
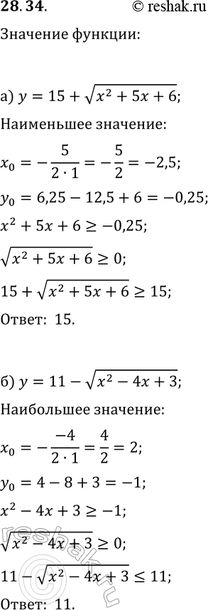
28.34. Найдите:
а) наименьшее значение функции y=15+v(x^2+5x+6);
б) наибольшее значение функции y=11-v(x^2-4x+3).
*размещая тексты в комментариях ниже, вы автоматически соглашаетесь с пользовательским соглашением