Упр.28.4 ГДЗ Мордкович Семенов 9 класс (Алгебра)
Решение #1

Рассмотрим вариант решения задания из учебника Мордкович, Семенов, Александрова 9 класс, Бином:
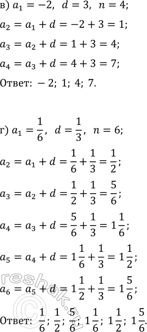
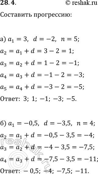
28.4. Составьте конечную арифметическую прогрессию (a_n), заданную условием:
а) a_1=3, d=-2, n=5; в) a_1=-2, d=3, n=4;
б) a_1=-0,5, d=-3,5, n=4; г) a_1=1/6, d=1/3, n=6.
*размещая тексты в комментариях ниже, вы автоматически соглашаетесь с пользовательским соглашением