Упр.29.7 ГДЗ Мордкович Семенов 9 класс (Алгебра)
Решение #1

Рассмотрим вариант решения задания из учебника Мордкович, Семенов, Александрова 9 класс, Бином:
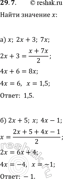
29.7. а) Найдите значения x, при которых числа x, 2x+3, 7x являются последовательными членами арифметической прогрессии.
б) Найдите значения x, при которых числа 2x+5, x, 4x-1 являются последовательными членами арифметической прогрессии.
*размещая тексты в комментариях ниже, вы автоматически соглашаетесь с пользовательским соглашением