Упр.296 ГДЗ Дорофеев Шарыгин 6 класс (Математика)
Решение #1

Рассмотрим вариант решения задания из учебника Дорофеев, Шарыгин, Суворова 6 класс, Просвещение:
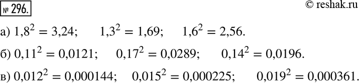
296. Используя таблицу квадратов двузначных чисел, вычислите:
а) 1,8^2; 1,3^2; 1,6^2;
б) 0,11^2; 0,17^2; 0,14^2;
в) 0,012^2; 0,015^2; 0,019^2.
*размещая тексты в комментариях ниже, вы автоматически соглашаетесь с пользовательским соглашением