Упр.3.1 ГДЗ Мордкович Семенов 9 класс (Алгебра)
Решение #1

Рассмотрим вариант решения задания из учебника Мордкович, Семенов, Александрова 9 класс, Бином:
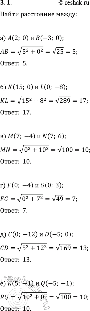
3.1. Найдите расстояние между точками координатной плоскости:
а) A(2; 0) и B(-3; 0); г) F(0; -4) и G(0; 3);
б) K(15; 0) и L(0; -8); д) C(0; -12) и D(-5; 0);
в) M(7; -4) и N(7; 6); е) R(5; -1) и Q(-5; -1).
*размещая тексты в комментариях ниже, вы автоматически соглашаетесь с пользовательским соглашением