Упр.3.10 ГДЗ Мерзляк 11 класс Углубленный уровень (Алгебра)
Решение #1

Рассмотрим вариант решения задания из учебника Мерзляк, Номировский, Поляков 11 класс, Вентана-Граф, Просвещение:
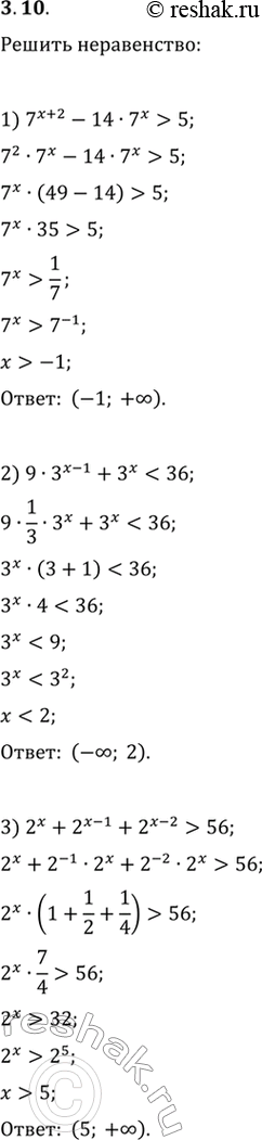
3.10. Решите неравенство:
1) 7^(x+2)-14·7^x>5; 4) (1/5)^(x-1)+(1/5)^(x+1)>26;
2) 9·3^(x-1)+3^x<36; 5) 2·6^x+3·6^(x+2)<650;
3) 2^x+2^(x-1)+2^(x-2)>56; 6) (3/4)^x-(3/4)^(x+1)>3/16.
*размещая тексты в комментариях ниже, вы автоматически соглашаетесь с пользовательским соглашением