Упр.3.15 ГДЗ Мерзляк 11 класс Углубленный уровень (Алгебра)
Решение #1

Рассмотрим вариант решения задания из учебника Мерзляк, Номировский, Поляков 11 класс, Вентана-Граф, Просвещение:
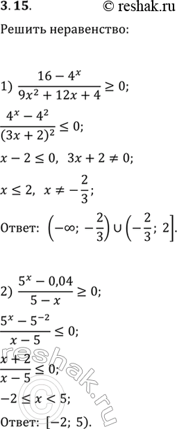
3.15. Решите неравенство:
1) (16-4^x)/(9x^2+12x+4)>0; 2) (5^x-0,04)/(5-x)>0.
*размещая тексты в комментариях ниже, вы автоматически соглашаетесь с пользовательским соглашением