Упр.3.20 ГДЗ Мордкович Семенов 9 класс (Алгебра)
Решение #1

Рассмотрим вариант решения задания из учебника Мордкович, Семенов, Александрова 9 класс, Бином:
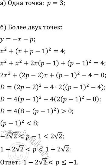
3.20. При каком значении параметра p график уравнения |x|+y+p=0 имеет с окружностью x^2+(y+1)^2=4:
а) единственную точку пересечения;
б) более двух точек пересечения?
*размещая тексты в комментариях ниже, вы автоматически соглашаетесь с пользовательским соглашением