Упр.3.23 ГДЗ Мордкович Семенов 9 класс (Алгебра)
Решение #1

Рассмотрим вариант решения задания из учебника Мордкович, Семенов, Александрова 9 класс, Бином:
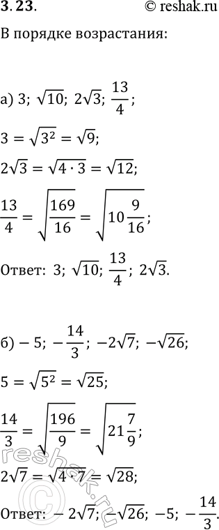
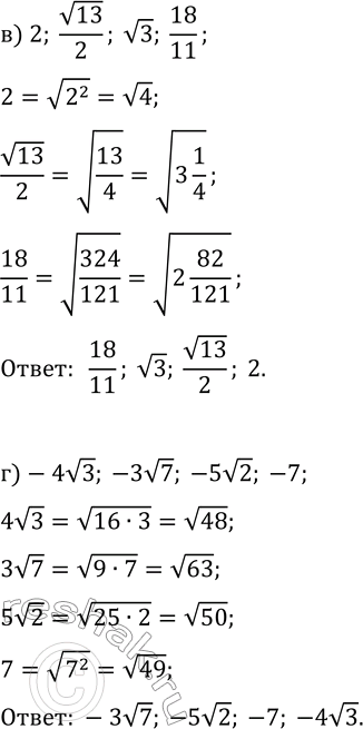
3.23. Расположите числа в порядке возрастания:
а) 3, v10, 2v3, 13/4; в) 2, v13/2, v3, 18/11;
б) -5, -14/3, -2v7, -v26; г) -4v3, -3v7, -5v2, -7.
*размещая тексты в комментариях ниже, вы автоматически соглашаетесь с пользовательским соглашением