Упр.3.4 ГДЗ Мордкович Семенов 9 класс (Алгебра)
Решение #1

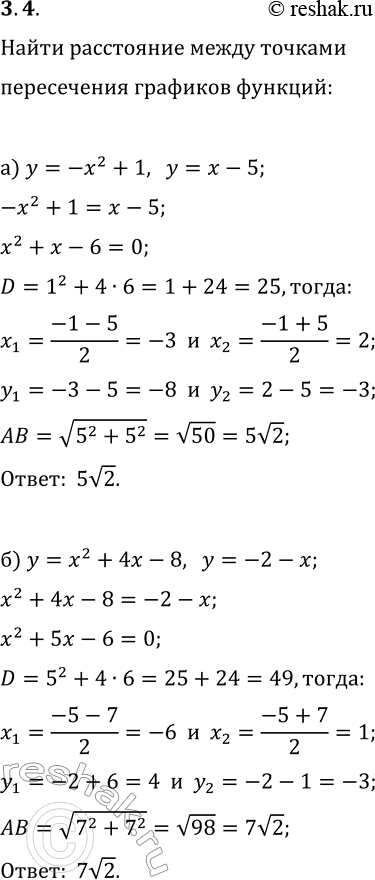
Рассмотрим вариант решения задания из учебника Мордкович, Семенов, Александрова 9 класс, Бином:
3.4. Найдите длину отрезка АВ, где А и В — точки пересечения параболы и прямой, заданных уравнениями:
а) y=-x^2+1 и y=x-5; б) y=x^2+4x-8 и y=-2-x.
*размещая тексты в комментариях ниже, вы автоматически соглашаетесь с пользовательским соглашением