Упр.3.5 ГДЗ Мерзляк 11 класс Углубленный уровень (Алгебра)
Решение #1

Рассмотрим вариант решения задания из учебника Мерзляк, Номировский, Поляков 11 класс, Вентана-Граф, Просвещение:
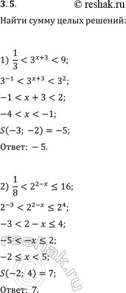
3.5. Найдите сумму целых решений неравенства:
1) 1/3<3^(x+3)<9; 2) 1/8<2^(2-x)<16.
*размещая тексты в комментариях ниже, вы автоматически соглашаетесь с пользовательским соглашением