Упр.31.16 ГДЗ Мордкович Семенов 9 класс (Алгебра)
Решение #1

Рассмотрим вариант решения задания из учебника Мордкович, Семенов, Александрова 9 класс, Бином:
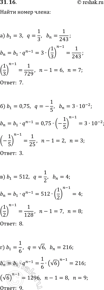
31.16. Дана конечная геометрическая прогрессия (b_n). Найдите n, если:
а) b_1=3, q=1/3, b_n=1/243;
б) b_1=0,75, q=-1/5, b_n=3·10^(-2);
в) b_1=512, q=1/2, b_n=4;
г) b_1=1/6, q=v6, b_n=216.
*размещая тексты в комментариях ниже, вы автоматически соглашаетесь с пользовательским соглашением