Упр.32.5 ГДЗ Мордкович Семенов 9 класс (Алгебра)
Решение #1

Рассмотрим вариант решения задания из учебника Мордкович, Семенов, Александрова 9 класс, Бином:
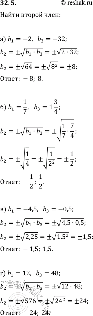
32.5. В геометрической прогрессии (b_n) выбрали три числа, следующие друг за другом. При этом два из них известны, а одно нет. Найдите пропущенный член прогрессии:
а) -2; ...; -32; в) -4,5; ...; -0,5;
б) 1/7; ...; 1 3/4; г) 12; ...; 48.
*размещая тексты в комментариях ниже, вы автоматически соглашаетесь с пользовательским соглашением