Упр.34.13 ГДЗ Мордкович Семенов 9 класс (Алгебра)
Решение #1

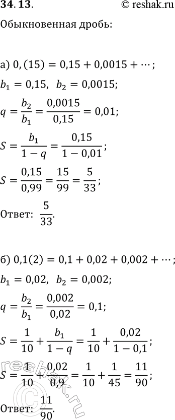
Рассмотрим вариант решения задания из учебника Мордкович, Семенов, Александрова 9 класс, Бином:
34.13. Представьте в виде обыкновенной дроби:
а) 0,(15); б) 0,1(2); в) 0,(18); г) 0,2(34).
*размещая тексты в комментариях ниже, вы автоматически соглашаетесь с пользовательским соглашением