Упр.34.9 ГДЗ Мордкович Семенов 9 класс (Алгебра)
Решение #1

Рассмотрим вариант решения задания из учебника Мордкович, Семенов, Александрова 9 класс, Бином:
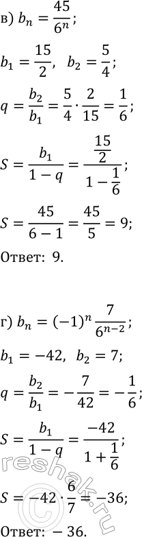
34.9. Найдите сумму геометрической прогрессии (b_n), если:
а) b_n=25/3^n; в) b_n=45/6^n;
б) b_n=(-1)^n 13/2^(n-1); г) b_n=(-1)^n 7/6^(n-2).
*размещая тексты в комментариях ниже, вы автоматически соглашаетесь с пользовательским соглашением