Упр.35 ГДЗ Бунимович Кузнецова 6 класс (Математика)

Решение #1

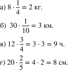
Изображение Найдите часть от величины (№ 35, 36).35 а) 1/4 от 8 кг;б) 1/10 от 30 км;в) 3/4 от 12 ч;г) 2/5 от 20 см....

Рассмотрим вариант решения задания из учебника Бунимович, Кузнецова, Минаева 6 класс, Просвещение:
Найдите часть от величины (№ 35, 36).
35 а) 1/4 от 8 кг;
б) 1/10 от 30 км;
в) 3/4 от 12 ч;
г) 2/5 от 20 см.
*Цитирирование задания со ссылкой на учебник производится исключительно в учебных целях для лучшего понимания разбора решения задания.
*размещая тексты в комментариях ниже, вы автоматически соглашаетесь с пользовательским соглашением