Упр.37.16 ГДЗ Мордкович Семенов 9 класс (Алгебра)
Решение #1

Рассмотрим вариант решения задания из учебника Мордкович, Семенов, Александрова 9 класс, Бином:
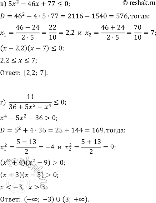
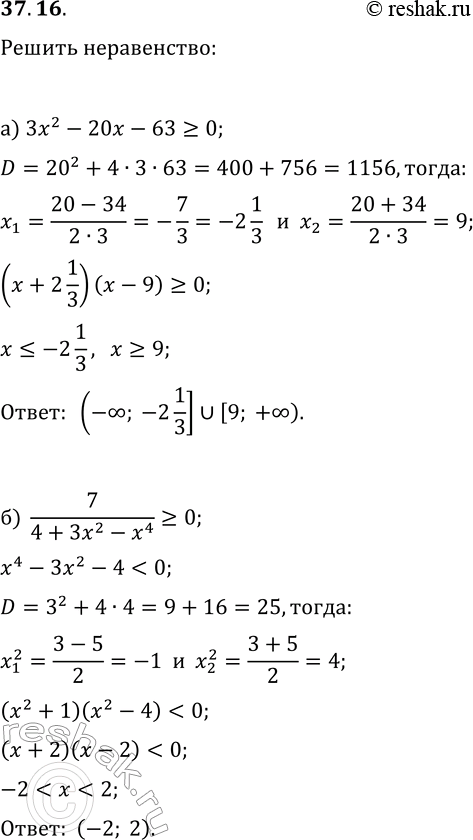
37.16. Решите неравенство:
а) 3x^2-20x-63?0; в) 5x^2-46x+77?0;
б) 7/(4+3x^2-x^4)?0; г) 11/(36+5x^2-x^4)?0.
*размещая тексты в комментариях ниже, вы автоматически соглашаетесь с пользовательским соглашением