Упр.39.13 ГДЗ Мордкович Семенов 9 класс (Алгебра)
Решение #1

Рассмотрим вариант решения задания из учебника Мордкович, Семенов, Александрова 9 класс, Бином:
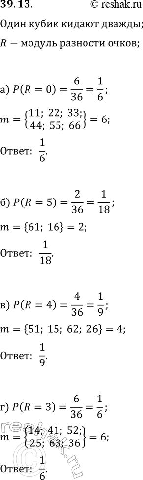
39.13. Рассмотрим случайную величину R — «модуль разности очков, которые могут выпасть при двух бросаниях кубика». Составьте таблицу распределения с. в. R, вычислив вероятности событий:
а) R=0; в) R=4; д) R=2;
б) R=5; г) R=3; е) R=1.
*размещая тексты в комментариях ниже, вы автоматически соглашаетесь с пользовательским соглашением