Упр.435 ГДЗ Бунимович Кузнецова 6 класс (Математика)

Решение #1

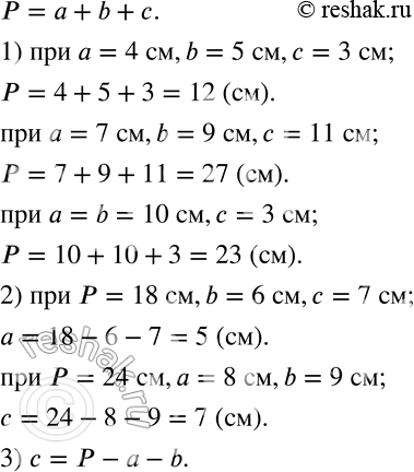
Изображение 435 Пусть а, b, с — длины сторон треугольника. Воспользовавшись формулой периметра треугольника, выполните следующие задания:1) Найдите периметр треугольника, если: а...

Рассмотрим вариант решения задания из учебника Бунимович, Кузнецова, Минаева 6 класс, Просвещение:
435 Пусть а, b, с — длины сторон треугольника. Воспользовавшись формулой периметра треугольника, выполните следующие задания:
1) Найдите периметр треугольника, если: а = 4 см, b = 5 см, с = 3 см; а = 7 см, 6 = 9 см, с = 11 см; а = b = 10 см, с = 3 см.
2) Найдите третью сторону треугольника, если Р = 18 см, b = 6 см, с = 7 см; Р = 24 см, а = 8 см, b = 9 см.
3) Выразите сторону с треугольника через периметр Р и стороны а и b.
*Цитирирование задания со ссылкой на учебник производится исключительно в учебных целях для лучшего понимания разбора решения задания.
*размещая тексты в комментариях ниже, вы автоматически соглашаетесь с пользовательским соглашением